作者:众安环保发布时间:2025-8-29
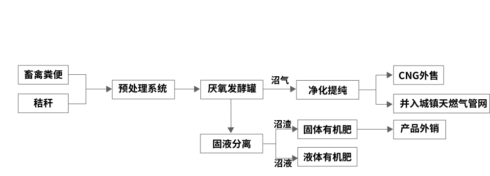
2025年8月,湖南省环保与能源领域迎来标志性进展——界牌镇生物天然气项目即将正式投用。作为湖南省农业废弃物资源化利用示范工程,该项目设计年处理18万吨农业废弃物(含5万吨秸秆、13万吨畜禽粪污),年产800万立方米生物天然气和15万吨高品质有机肥,将成为区域绿色低碳发展的新标杆。
在这一重大项目的背后,众安环保作为核心预处理技术服务商,凭借自主研发的农业废弃物预处理系统,为项目构建起“废弃物处理—绿能生产—农业反哺—环境治理”的可持续闭环产业链,奠定了坚实的技术基础。

项目初期,面对秸秆纤维坚硬、畜禽粪污成分复杂、杂质多等难题,传统处理方式易导致发酵系统堵塞、产气效率不稳定,成为制约项目推进的关键瓶颈。针对这些挑战,众安环保生产工厂依托20余年先进装备制造与环保工程经验,为湖南衡阳界牌镇生物质天然气项目量身打造了全流程EPC解决方案,涵盖“定制化工艺设计 + 成套装备供应 + 系统调试 + 现场运维支持”,全面攻克原料预处理难关。
在技术工艺上,众安环保创新采用分级处理策略:

针对畜禽粪污,实施“重杂质—轻杂质—中性杂质”三级分离工艺,精准去除砂石、塑料等杂质,确保进料纯净;
针对秸秆原料,采用“撕碎—除杂—粉碎”三段式处理流程:双轴撕碎机将长秸秆切断至100mm,再经除铁除杂后,通过专用细粉碎机进一步处理至10–30mm,显著提升物料可降解性。
经众安环保生物质预处理系统处理后的原料质地均匀、杂质含量低,不仅大幅提升了厌氧发酵的产气效率,还有效降低了设备堵塞风险,保障了整个生物天然气系统的连续、稳定、高效运行。
“众安环保的预处理技术真正解决了我们的心头难题。”项目业主负责人高度评价,“系统运行稳定,出料质量完全达到预期,为项目顺利投产提供了关键支撑。”

众安环保总经理表示:“湖南衡阳界牌镇项目是对我们技术实力的一次重要检验。我们很荣幸能为这一省级示范工程提供核心技术支持。未来,公司将继续深耕农业废弃物资源化与固废处理领域,加大研发投入,以更高效、更稳定、更具经济性的解决方案,赋能更多绿色能源项目落地。”
随着界牌镇生物天然气项目即将投产,众安环保正以扎实的技术创新力和工程实践力,持续推动农业生态循环与双碳目标的深度融合,助力中国环保事业迈向高质量发展新阶段。
如果您对我们的产品报价、详细参数感兴趣,欢迎拨打电话 15639038682 ,或者点击"在线咨询",我们的技术经理将为您提供详细的解答。